网上博彩网站大全

网上博彩网站大全

人大网上博彩网站大全 2022年全国优秀大学生夏令营选拔结果

来源:教务办公室 编辑:宣传信息事务办公室 发布时间:2022-08-03

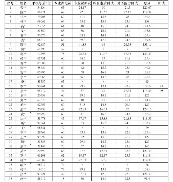
人大网上博彩网站大全 2022年全国优秀大学生夏令营优秀营员名单

(名单按姓氏拼音排序,不区分专业方向)

1人大网上博彩网站大全
2022年全国优秀大学生夏令营优秀营员名单.png

人大网上博彩网站大全 2022年全国优秀大学生夏令营优秀营员备选名单

(名单按姓氏拼音排序,不区分专业方向)

2备选名单.png

人大网上博彩网站大全 2022年全国优秀大学生夏令营其他营员名单

(名单按姓氏拼音排序,不区分专业方向)

3.png


官方微信 网上博彩网站大全 86-10-82509171 [email protected]

©网上博彩网站大全 版权所有 京ICP备05066828号-1